千年古墓重現世間,傳說中埋藏著帝王生前的無盡財寶。但這座墓地佈滿機關與陷阱,通道之間只有單向可以通行,一旦通過就無法回頭。
你作為盜墓小隊的首領,帶領隊員們深入墓穴。每個房間中都藏有一定價值的寶物,而你只能選擇從某一個房間出發,沿著通道一路向前探索,並在某一個房間停下(可以跟你出發的房間為同一個)。你必須拿取所有你經過的房間的寶物(包含第一個到最後一個房間)。由於你不想空手而歸,所以你至少會拿走一個寶物(即你選擇出發的房間中的寶物)。
這座墓地有 $N$ 個房間,編號成 $1$ 到 $N$ 。
你的目標是從所有可行的路徑中,找出能取得的最大寶物總價值。
第一行包含兩個整數 $N, M$ 。
第二行有 $N$ 個整數 $V_1, V_2, \ldots, V_N$ , $V_i$ 代表第 $i$ 個房間中寶物的價值。
接下來的 $M$ 行,每行會有兩個整數 $x, y$ ,代表有一條單向通道從房間 $x$ 通到房間 $y$ 。
輸出一個整數,代表最大寶物總價值。
5 6 8 10 7 1 5 3 4 4 1 2 5 2 1 5 1 3 5
23
8 8 6 10 -1 0 -8 -3 1 10 6 3 7 1 4 2 7 8 6 5 1 4 7 2 8 1
27
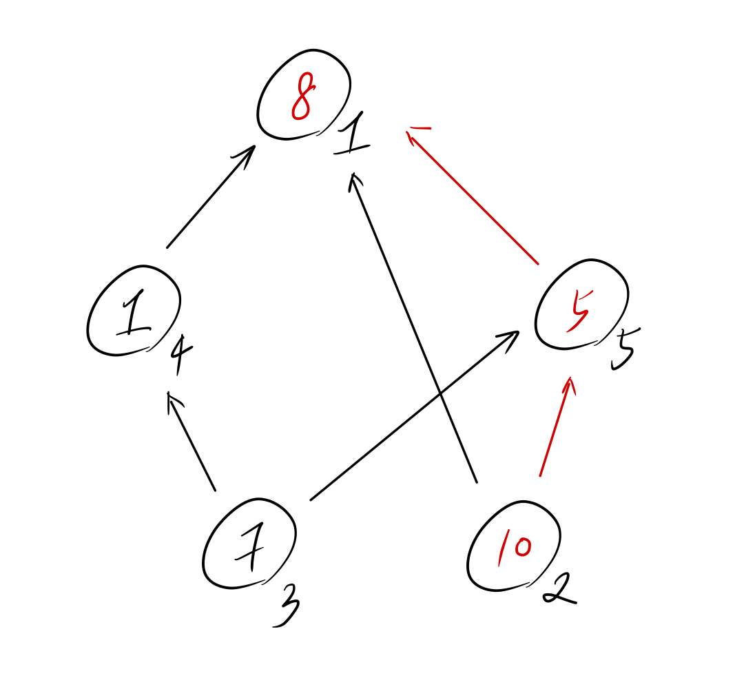
範例1如圖所示,其中能獲得最大價值的路徑為 $2 \to 5 \to 1$,最大寶物總價值為 $23$。

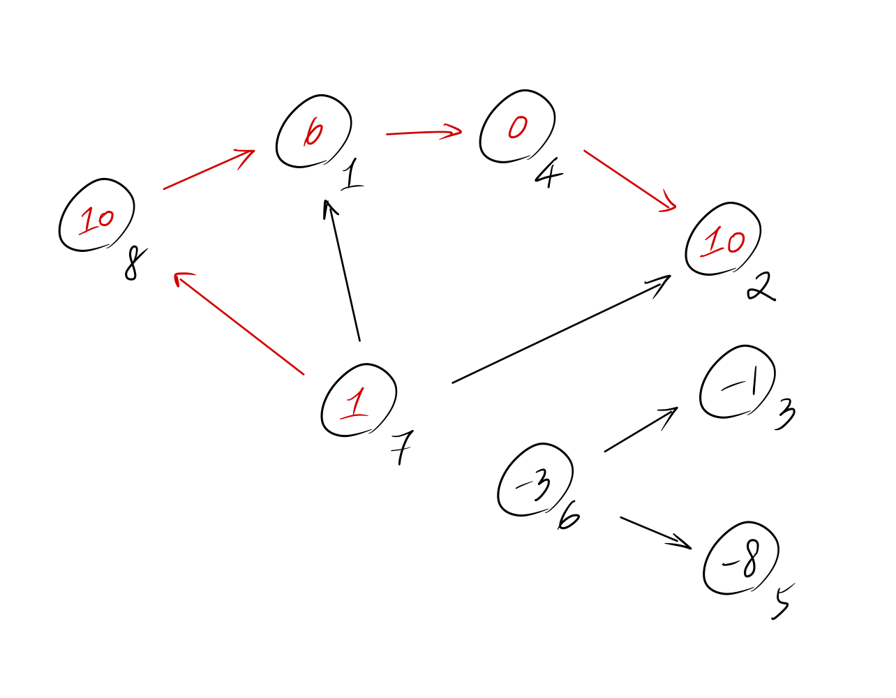
範例2如圖所示,其中能獲得最大價值的路徑為 $7 \to 8 \to 1 \to 4 \to 2$,最大寶物總價值為 $27$。

YTP 2025 國中組程式挑戰營 p7
| No. | Testdata Range | Constraints | Score |
|---|---|---|---|
| 1 | 0~1 | 範例測試資料 | 0 |
| 2 | 0~17 | 無額外限制 | 20 |