前情提要:請參考題目「狹路相逢勇者勝」。
偷摸林事務所(Tomorin プロダクション)第十屆培訓營的小石頭們方才於「狹路相逢」道館打出了一場氣勢如虹的勝仗。眾人正沉醉在慶功宴的歡笑與喧囂之中,然而椎名立希與八幡海鈴卻早已悄悄離席,循著蛛絲馬跡一路追蹤著事務所的吉祥物——那隻自由不羈的抹茶貓——要樂奈。最終,他們的追逐在花咲川學園的中庭畫下了新篇章。
此刻的花咲川中庭,正因學園祭而熱鬧非凡。整個場地可以抽象成一張圖:共有 $n$ 個位置與若干條道路交織。道路兩旁攤位林立,女僕咖啡廳的招呼聲、射水氣球的尖叫、鬼屋的驚呼與樂團的演奏交織成一片,但樂奈的眼裡卻只有攤位上琳瑯滿目的點心——這裡對她來說簡直就是天堂!
不過,樂奈對於路線有獨特的偏好:
根據後勤部部長三角初華的情報,樂奈一路上吞食的點心種類若依序拼接,正好形成一條字串 $S$。然而樂奈的食量之驚人,使得 $S$ 的長度遠超常人記憶所能負荷,因此必須表達成滿足合法壓縮字串形式的字串 $T$。
合法壓縮字串 <compressed> 的定義如下(Backus–Naur 形式,BNF):
<alphabet> ::= "a" | "b" | ... | "z"
; 所有小寫英文字元
<firstdigit> ::= "1" | "2" | "3" | "4" | "5" | "6" | "7" | "8" | "9"
<digit> ::= "0" | <firstdigit>
<digits> ::= <digit>
| <digit> <digits>
<number> ::= <firstdigit>
| <firstdigit> <digits>
<compressed> ::= <alphabet>
| <compressed> <compressed>
| "(" <compressed> ")" <number>
或是更直觀地說:
其中,$\texttt{(} \; E \; \texttt{)} \; v$ 代表「將 $E$ 重複拼接 $v$ 遍」。舉例來說:
然而真正的難題在於:沒有人知道樂奈究竟從哪個位置啟程。作為花咲川後援會會長的小綠,你決定挺身而出。對於每一個可能的出發點 $i = 1, 2, \ldots, n$,定義從 $i$ 出發,走過 $|S|$ 步途中所經過的點心種類所組成的字串為 $W_i$。你的任務,是要判斷每一個 $W_i$ 與字串 $S$ 的大小關係。
資料範圍:
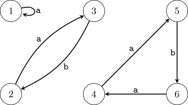
<、=、>)。6 1 3 2 5 6 4 a a b a b a aabaa
<>>>>=
3 1 2 3 a b c (b)1000000000
<=>
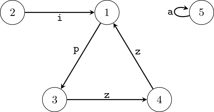
5 3 1 4 1 5 p i z z a ((p(z)2)3((p)1zz)9)7p
=<>><
該輸入滿足所有子任務的限制。

要樂奈從每個位置出發,行經五條道路上的字元拼接而成的字串 $W_i$($1 \le i \le 6$)分別為:
該輸入滿足子任務 2, 4 的限制。
該輸入滿足子任務 3, 4 的限制。

YTP 2025 國中組程式挑戰營 p14
| No. | Testdata Range | Constraints | Score |
|---|---|---|---|
| 1 | 36~38 | 範例測試資料。 | 0 |
| 2 | 0~3, 36 | $T$ 只會由第一、二種方法構造出來,也就是說不存在括弧。 | 3 |
| 3 | 0~11, 36~37 | $T$ 由第三種構造方法中的 $E$ 只會由第一、二種方法構造出來,也就是說不存在括弧套括弧。 | 6 |
| 4 | 0~3, 12~23, 36, 38 | 字串 $T$ 中的數字 $v$ $\le 9$。 | 6 |
| 5 | 0~38 | 無額外限制。 | 10 |